← Back to news
Coinfection with malaria alters the fecundity and within-host persistence of an intestinal nematode

Coinfection with malaria alters the fecundity and within-host persistence of an intestinal nematode

Published: March 18, 2026 · Plos.org

View original

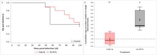
Author summary Coinfection between soil-transmitted helminths and malaria is common in several countries of the intertropical region, especially among the most vulnerable populations. Coinfection can exacerbate the severity of disease caused by malaria; there…